出口商品流转速度
出口商品流通速度的概念
出口商品流通速度是指出口商品销售与同期平均出口商品库存平均出口商品库存之比。它表明外贸企业在一定时期内出口商品的流通速度。出口商品销售有两种计算方法;一种是销售收入;另一种是销售成本。目前,外贸企业的出口(或国内销售)商品销售额均以销售成本计算。
出口商品的流通速度越快,出口商品在外贸企业停留的时间就越短,从而加快出口商品的流通,节约外贸企业的营运资金占用,降低出口商品的流通成本,增加企业利润,为国家创造更多的外汇。因此,出口商品的流通速度是衡量外贸企业工作质量的重要指标之一。
计算出口商品流通速度
(一)出口商品流通次数
出口商品的流通次数表明一定时期内出口商品的平均库存周转次数。它是根据一定时期内出口商品的销售额与同期的平均出口商品库存进行比较计算的。其计算公式为:
出口商品流通次数=
同期平均出口商品库存
出口商品流通次数越多,出口商品流通速度越快;相反,速度越慢。因此,出口商品的流通次数是表明出口商品流通速度的正指标。
公式中的分子是一段时间内出口商品的总销售额,不仅受出口波动的影响,而且与计算助长度有关。因此,在使用出口商品的流通时,必须注明计算期。
比如某外贸企业第二季度出口商品销售,4月120万,5月240万,6月360万;4月初出口商品库存50万,4月底70万,5月底99万,6月底110万。
4月出口商品流转次数:

5月出口商品流转次数:

6月出口商品流转次数:

第二季度出口商品流通次数次:

由于出口商品的流通次数是相对数,季度出口商品的流通次数只能按相对数的顺序计算,而不是简单地将出口商品的流通次数加为8.6次(2 3 3.6)。
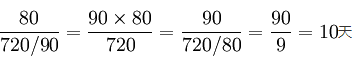
(二)出口商品流通天数
出口商品的流通天数表示在一定时期内平均出口商品储存周转所需的天数。它是根据一定时期内平均出口商品库存与同期平均日出口商品销售的比较计算的。其计算公式为:

第二季度如下:
出口商品流通天数天:

出口商品流通天数越少,出口商品流通速度越快,反之亦然。因此,出口商品流通:天数是出口商品流通的反指标。
由于上述公式中的分子和分母均为平均值,与计算期长度无关,因此在管理中确定各出口商品的计划库存配额和供应天数,无需出口商品的数量。
从上述出口商品流通天数公式不难看出,只要知道计算日数,就可以相互计算出口商品流通天数和出口商品流通次数。
计算出口商品流通速度的要求是,分子和分母所包含的商品范围和计算价格应相同。为了真正反映外贸企业出口商品的流通速度,不仅要计算出口商品的总流通速度,还要计算出口商品甚至具体出口商品的分类流通速度。
出口商品流通速度分析
影响商品流转速度变动的因素很多,在这些因素中,有主观方面的,也有客观方面的。统计分析的目的,主要在于从数量上反映各种因素对商品流转速度的影响。
(一)分析出口商品流通天数偏离计划的因素
影响出口商品流转天数变化,一般有两个因素,一是出口商品销售额,另一是平均出口商品库存额。要分析出口商品流转天数偏离计划的因素,可用连锁替代法来分析各个因素的变动对出口商品流转天数偏离计划的影响。
(2)对出口商品流通速度的动态分析
出口商品的流通速度只能说明出口商品在一定时期内的流通速度。如果要比较分析各时期出口商品的流通速度,需要计算出口商品的流通速度指数。
出口商品流通速度指数是两个时期出口商品流通速度指数的对比,说明出口商品流通速度的变化趋势和幅度。由于出口商品流通速度有两个正反指标,出口商品流通速度指数可以根据出口商品流通次数或出口商品流通天数计算。
1.按出口商品流通次数指标计算:
出口商品流转速度指数=
基期出口商品流转天数报告期出口商品流转天数
2.根据出口商品流通天数指标计算。由于出口商品流通天数指标是说明出口商品流通速度的反指标,其计算公式为:
(间接法)

(直接法)

根据间接法出口商品流通天数指标或出口商品流通次数指标计算的出口商品流通速度指标,结果完全一致,说明出口商品流通速度的速度。但根据直接法出口商品流通天数指标计算出口商品流通速度指数,说明出口商品流通所需天数报告期比基本期缩短或增加百分之几,意味着出口商品流通速度加快或减慢。
出口商品流转速度指数除了根据出口商品流转次数和出日商品流转天数指标计算以外,还可用出口商品销售额指数和乎均出口商品库存额指数来推算:


出口商品流通次数指数×出口商品流通天数指数(直接法)=1
利用上述指数之间的关系,可以从已知的两个指数中计算出另一个指数。例如,已知扩大出口商品销售和加快商品流通的具体任务很容易计算出应增加或减少出口商品库存。
参考文献
张政编着.现代对外贸易统计[M].ISBN:7-5015-5586-9/F740.6.知识出版社,1993.09.
出口商品流转速度
出口商品流转速度发表于2022-05-23,由周林编辑,文章《出口商品流转速度》由admin于2022年05月23日发布于本网,共1979个字,共5936人围观,目录为贸易方式,如果您还要了解相关内容敬请点击下方标签,便可快捷查找与文章《出口商品流转速度》相关的内容。
版权声明:
文章:(出口商品流转速度),来源:网络整理,阅读原文。
出口商品流转速度若有[原创]标注,均为本站原创文章,任何内容仅供学习参考,未经允许不得转载,任何内容不得引用,文章若为转载文章,请注明作者来源,本站仅为分享知识,不参与商业活动,若有侵权请联系管理删除

微信扫一扫打赏
支付宝扫一扫打赏
