货车载重力利用率指的是什么意思(什么是货车载重力利用率)
你真的知道卡车载重力利用率吗?你知道多少?以下是爱68为您整理卡车载重力利用率的相关知识,让您更深入地了解什么是卡车载重力利用率。那么,卡车载重力利用率在公路运输行业代表什么呢?让我们一起看看。
目录
|
卡车载重力利用率是多少?
卡车载重力利用率指卡车平均静载荷与卡车平均标记载荷的比率,表示车辆载荷重力的利用程度,以百分比表示。卡车载荷重力的利用率反映了卡车载荷的利用程度,是挖掘货运载荷重力潜力的重要指标。
计算卡车载重力利用率
卡车载重力利用率的计算公式如下:
λ=P静/P标×100%
P标=
P标/
U装
式中:λ——卡车载重力利用率;
P静——卡车平均静载荷;
P标——卡车平均标记载重;
U装——装车总数。
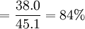
【例题】本月,铁路局发货吨数为12000kt,货物运输吨数为265kt,日夜工作量为3100辆(包括1050辆),重周转距离为395辆km,空率为5%,货物平均运程为354km,装车卡车平均标记载重45.1t。本月试用卡车静载重和卡车重力利用率。
【解】装车静载重=货物运输吨/装载量
(t)
卡车载重力利用率=装载静载重/卡车标记载重×100%
相关条目
- 卡车容积利用率
参考文献
- ↑ 陈湖.交通统计词典.1992年11月,人民交通出版社第一版
- ↑ 钱仲侯,杨爱芬.铁路运营和经济指标.中国铁道出版社,2003年11月第1版
货车载重力利用率指的是什么意思(什么是货车载重力利用率)
货车载重力利用率指的是什么意思(什么是货车载重力利用率)发表于2022-06-29,由周林编辑,文章《货车载重力利用率指的是什么意思(什么是货车载重力利用率)》由admin于2022年06月29日发布于本网,共657个字,共5448人围观,目录为公路运输,如果您还要了解相关内容敬请点击下方标签,便可快捷查找与文章《货车载重力利用率指的是什么意思(什么是货车载重力利用率)》相关的内容。
版权声明:
文章:(货车载重力利用率指的是什么意思(什么是货车载重力利用率)),来源:,阅读原文。
货车载重力利用率指的是什么意思(什么是货车载重力利用率)若有[原创]标注,均为本站原创文章,任何内容仅供学习参考,未经允许不得转载,任何内容不得引用,文章若为转载文章,请注明作者来源,本站仅为分享知识,不参与商业活动,若有侵权请联系管理删除

微信扫一扫打赏
支付宝扫一扫打赏
