泊位装卸能力指的是什么意思?什么是泊位装卸能力?
你对泊位装卸能力了解多少?下面!爱68整理了船舶运输中泊位装卸能力的相关介绍,帮助您更深入地了解泊位装卸能力。
目录
|
泊位装卸能力是什么?
用装卸船吨表示泊位装卸能力,其计算公式为:
P泊、营=P泊、理×K合、泊
式中:P泊、营——泊位运行装卸能力(吨)以装卸船吨表示;
P泊、理——泊位理论装卸能力(吨)以装卸船吨表示;
K合、泊——合理的泊位利用率。
P泊、理=N年×
船
船——每艘船平均在港装卸货物吨数;
N年——全年可装卸的船舶数量(船)按以下公式计算:
N年=T年/(t占 t让)
其中:T年——泊位年工作天数是指泊位全年可停船的天数,相当于年日历天数减去非工作天数;
t让——船舶转移时间(天)是指一艘船离开泊位后,下一艘船因技术原因开始靠泊前必须的间隔时间;
t占——船舶占用泊位时间(天),是指船舶从码头到船舶离开码头的延续时间,按以下公式计算:
t占=t离靠 t装卸 t准结 t辅 t技 t非 t气
式中:t离靠——船舶离码头时间(天);
t准结——准备和结束每艘船占用泊位的平均时间(天);
t辅——平均每艘船所需的辅助作业时间(天)。例如,在码头进行联合检查、熏蒸、清洗和停止装卸,以提供船用燃料和材料;
t技——装卸过程中每艘船的平均技术中断时间(天)。如船舶调档时间、移动时间等。
t非——每艘船在泊位停靠期间平均询问非生产性停泊时间(天);
t气——平均每艘船在泊位停靠期间因气象原因中断装卸和其他作业的时间(天);
t装卸——每艘船在港口的平均装卸时间(天)。可按以下公式计算:
t装卸=
船/P船天
式中:P船天——船天效率(吨/昼夜)是指每天晚上实际可装卸的货物吨数。按以下计算:
P船天=P船时×t天
式中:t天——昼夜最大装卸时间是指每日夜泊位最大可能的装卸时间,即从昼夜24小时中扣除工人不可避免的装卸中断时间;
P船时——船时效率(吨/时)是指每艘船在实际装卸时间内每小时平均可装卸的货物吨数。
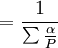
然后根据以下公式计算泊位的综合通过能力。然后再按以下公式计算泊位的多种货种、多种船型的综合通过能力。
P泊、理、综
式中:P泊、理、综——泊位综合通过能力;
α——各不同船型或不同货种占泊位装卸作业总量的比重;
P——与α通过能力对应的泊位理论。
【例】杂货泊位,接卸l已知泊位装卸钢材效率为1800吨/天,装卸木材效率为1000吨/天,船舶离码头1小时,准备结束1小时,辅助作业5小时,技术中断2小时,非生产性停泊0.5小时,由气象原因引起的停泊时间为0.船舶转档时间为5小时,泊位年工作天数为320天,若钢材与木材通过该泊位装卸的比例为3:7,则试验该泊位的综合理论装卸能力。
【解】1.泊位仅装卸钢材时理论装卸能力的计算:
t装卸=
船/P船天
(天)
t占
(天)
N年=T年/(t占 t让)
(艘)
P钢材=N年×
船
(万吨)
2.泊位仅装卸木材时理论装卸能力的计算:
t装卸=
船/P船天
(天)
t占
(天)
N年=T年/(t占 t让)
(艘)
P木材=N年×
船
(万吨)
3.泊位综合理论装卸能力计算:
α钢材=0.3 α木材=0.7
P泊、理、综=1/
(万吨)
换算泊位装卸能力
上述公式计算的泊位装卸能力是泊位装卸船舶的能力。将其转换为装卸自然吨需要两次。
第一次是将其转换为可完成的吞吐量,即从船舶吨位减去装卸港运输船舶的数量。同时,直接在码头更换水和水的吨位计算为两个吞吐量,即:
P泊、营、吞=P泊、营×(1-K驳 K水直)
式中:P泊、营、吞——泊位能承受的吞吐量;
K驳——驳运系数,即按库(场)?驳方案装卸的货物数量占船舶装卸吨数(含驳船装,卸吨数)的比重;
K水直——水直接换装系数,即码头上水直接换装的货物数量占船舶装卸吨数含驳船装卸吨)的比例。
第二次变换是将吞吐量转换为装卸自然吨,即扣除水中每吨多计算的吞吐量,其公式为:
P泊=P泊、营、吞×(1-K水水÷2)
式中:P泊——泊位能承受的装卸自然吨;
K水水——水中转系数是指水中转的吞吐量占吞吐量的比例。
参考文献
- ↑ 余思勤.运输经济(水路)专业知识与实践(中级)(2008年版).2008年中国人事出版社.5
泊位装卸能力指的是什么意思?什么是泊位装卸能力?
泊位装卸能力指的是什么意思?什么是泊位装卸能力?发表于2022-06-28,由周林编辑,文章《泊位装卸能力指的是什么意思?什么是泊位装卸能力?》由admin于2022年06月28日发布于本网,共1863个字,共5045人围观,目录为船舶运输,如果您还要了解相关内容敬请点击下方标签,便可快捷查找与文章《泊位装卸能力指的是什么意思?什么是泊位装卸能力?》相关的内容。
版权声明:
文章:(泊位装卸能力指的是什么意思?什么是泊位装卸能力?),来源:,阅读原文。
泊位装卸能力指的是什么意思?什么是泊位装卸能力?若有[原创]标注,均为本站原创文章,任何内容仅供学习参考,未经允许不得转载,任何内容不得引用,文章若为转载文章,请注明作者来源,本站仅为分享知识,不参与商业活动,若有侵权请联系管理删除

微信扫一扫打赏
支付宝扫一扫打赏
