掉期率
掉期率(SwapRateorSwapPoint)
掉期率概述
掉期率指某一特定货币,其远期汇率与现货汇率的差异,或积极或消极,通常以点数代表。事实上,下降率来自于两种交易货币之间的利率水平差异。这种差异可以以汇率的形式表示,也被称为两种货币之间下降率。
在外汇交易中,银行通常用掉期率标明远期外汇的价格,并报告买卖两种掉期率。一般来说,小数点后的第三位数和第四位数。从掉期率的排列顺序可以看出,远期汇率是升水还是贴水。在直接定价法中,如果掉期率的排列顺序从小到大,即买入掉期率低于卖出掉期率,长期外汇升水,反之亦然。在间接定价法中,如果掉期率的排列顺序从大到小,即卖出的掉期率高于买入的掉期率,长期外汇升水,反之亦然。
计算掉期率的方法
1.计算掉期率的方法
计算掉期率有两种不同的方法,一种是基于利率差的概念,另一种是基于利率平价理论的概念。
1.基于利率差概念的计算公式为:
掉期率计算=(远期汇率-即期汇率)/即期汇率×360/远期合约天数
2.基于利率平价理论的计算公式如下:
掉期率=远期汇率-即期汇率
2.计算不规则天数的掉期率
不规则天数的掉期率常采用平均天数法来计算,其计算过程可以分为4个步骤:
(1)找出最接近不规则天数前后两个规则天数的掉期率。
(2)计算前后两个规则天数的掉期率与这两个交割日之间的差额,将掉期率差额除以天数,获得每天的掉期率。
(3)计算出不规则天数交割日与前一个规则天数交割日之间的天数,乘以每天获得的掉期率,获得一个掉期率。
(4)将这个掉期率加上前一个规则天数的掉期率,得到不规则天数的掉期率。
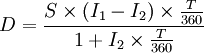
计算掉期率的公式
掉期率公式可分为:

S——即期汇率;
I1计价货币利率;
I2基本货币利率;
T——天数;
D——掉期率。
在上述公式中,如果计价货币利率大于基本货币利率,其利率差为正,则远期汇率降至零,称为升水;如果计价货币利率小于计价货币利率,则其利率差为负,则远期汇率降至零,称为折扣。
三种形式的掉期率
它有三种形式:
①当远期汇率高于即期汇率时,称为升水或溢价(AtPremium);
②当远期汇率低于即期汇率时,称为贴水或折价(AtDiscount);
③当远期汇率与即期汇率相同时,则称为平价(AtPar)。
掉期率报价法
与另一种报价方法不同,银行首先报告即期汇率,然后在即期汇率的基础上报告点(即下降率),客户将点添加或从即期汇率中减少点,获得远期汇率。
在掉期率报价法下,银行给出点数后,客户计算远期汇率的关键是判断是将点数添加到即期汇率中还是从即期汇率中减少点数。其判断原则是使远期外汇的交易差价大于即期外汇的交易差价,因为作为一家银行,从事外汇交易的利润来源主要是买卖外汇之间的差价,银行在远期外汇业务中承担的风险大于从事即期外汇业务的风险。以下例子:
例3.32004年某月,当客户向银行询价时,银行用掉期率标价法报告远期英镑价格:
Spot1.7540/50;30-day2/3;90-day28/30;180-day30/20。
考虑30-day长期汇率,试用加法,长期汇率为1.7542/53买卖差价为0.0011大于即期外汇的交易差价(O.0010),可以判断加法是对的;再试减法,远期汇率为:1.7538/47买卖差价为0.0009,低于即期外汇的交易差价,判断减法是错误的;同样,90-day对于180—day对于长期汇率,试验结果表明应采用减法。上述结果可以重新表示为表1。
表1
从以上例子可以看出,当银行给出的掉期率斜线前的点低于斜线后的点时,应将掉期报价点添加到即期汇率上。此时,如果在直接定价法下,则表现为远期外汇升水;如果在间接定价法下,则表现为远期外汇贴水。相反,当银行给出的掉期率斜线前的点高于斜线后的点时,应从即期汇率中减去掉期报价点。此时,在直接定价法下,表现为远期外汇贴水,在间接定价法下,表现为远期外汇贴水。
掉期率
掉期率发表于2022-06-19,由周林编辑,文章《掉期率》由admin于2022年06月19日发布于本网,共1571个字,共5065人围观,目录为外汇汇率,如果您还要了解相关内容敬请点击下方标签,便可快捷查找与文章《掉期率》相关的内容。
版权声明:
文章:(掉期率),来源:,阅读原文。
掉期率若有[原创]标注,均为本站原创文章,任何内容仅供学习参考,未经允许不得转载,任何内容不得引用,文章若为转载文章,请注明作者来源,本站仅为分享知识,不参与商业活动,若有侵权请联系管理删除

微信扫一扫打赏
支付宝扫一扫打赏
