运输需求价格弹性系数
什么是运输需求价格弹性系数?
运输需求价格弹性系数指运输需求变化的百分比与运价变化的百分比。由于运价与运输需求方向相反,运输需求价格的弹性系数是运输需求的增加百分比与运输价格下降百分比之比,或运输需求与运价上涨百分比之比。
影响运输需求价格弹性系数的因素
影响运输需求价格弹性系数的因素很多,主要包括:①运输需求的替代性。运输需求的替代性越强,弹性系数越大;替代性越弱,弹性系数越小。②货物类型。高价值货物的运输需求价格弹性相对较小,而低价值货物的运输需求弹性相对较大。③旅客类型。一般来说,生活旅客的客运需求弹性系数较大,而工作旅客的客运需求弹性系数较小。④运输需求的及时性。运输需求的及时性可以理解为运输需求的时间紧迫性。及时性越强,运输需求价格弹性系数越小;及时性越弱,运输需求价格弹性系数越大。⑤货物运输需求的季节性和市场状况。当货物急于上市或不易长期存活时,其运价弹性较小。此外,运输需求与资源分布和工业布局密切相关,决定了相当一部分货运量。这些货运量一旦形成,其运价弹性就相对较小。
计算运输需求价格弹性系数
用公式表示运输需求价格弹性系数:
Ep=Q变动率/P变动率
式中:Ep——运输价格弹性系数;
Q——运输需求;
P——运输劳务价格;
-运输需求变化值;
-运输劳务价格的变化值。
计算运输需求价格弹性系数可采用以下两种方法:
(1)计算运输需求曲线上某一点的弹性——点弹性ξp,即

该方法适用于已知运输需求曲线方程。
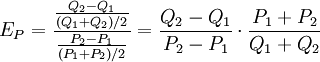
(2)计算运输需求曲线上某两点之间的平均弹性-弧弹性Ep,即

这种方法适用于需求曲线方程未知,只知道曲线上两点的坐标的情况下。
由于运价和运输需求方向相反,弹性系数为负,绝对值通常使用弹性大小。绝对值大,需求弹性充足;绝对值小,需求弹性不足。
参考文献
- ↑王国林郭晓汾.交通工程学.2006年1月,人民交通出版社第一版
- ↑马天山.运输经济(公路)专业知识与实践中级.2009年中国人事出版社.05
- ↑长安大学.公路技术词典.2006年3月,人民交通出版社第一版
运输需求价格弹性系数
运输需求价格弹性系数发表于2022-06-17,由周林编辑,文章《运输需求价格弹性系数》由admin于2022年06月17日发布于本网,共829个字,共5945人围观,目录为物流,如果您还要了解相关内容敬请点击下方标签,便可快捷查找与文章《运输需求价格弹性系数》相关的内容。
版权声明:
文章:(运输需求价格弹性系数),来源:,阅读原文。
运输需求价格弹性系数若有[原创]标注,均为本站原创文章,任何内容仅供学习参考,未经允许不得转载,任何内容不得引用,文章若为转载文章,请注明作者来源,本站仅为分享知识,不参与商业活动,若有侵权请联系管理删除

微信扫一扫打赏
支付宝扫一扫打赏
