运输需求价格弹性
什么是运输需求价格弹性?
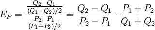
运输需求价格弹性它反映了运输需求变化对运输价格变化的敏感性,通常使用运输需求价格弹性系数Ep计算公式为:

式中:Q、
-运输需求及其变化值;
P、
——运价及其变化值。
影响运输需求价格弹性的因素
影响运输需求价格弹性系数的因素很多,主要包括:①运输需求的替代性。运输需求的替代性越强,弹性系数越大;替代性越弱,弹性系数越小。②货物类型。高价值货物的运输需求价格弹性相对较小,而低价值货物的运输需求弹性相对较大。③旅客种类。一般而言,生活性旅客的客运需求弹性系数比较大,而工作性旅客的客运需求弹性系数比较小。④运输需求的及时性。运输需求的及时性可以理解为运输需求的时间紧迫性。及时性越强,运输需求价格弹性系数越小;及时性越弱,运输需求价格弹性系数越大。⑤货物运输需求的季节性和市场状况。当货物急于上市或不易长期存活时,其运价弹性较小。此外,运输需求与资源分布和工业布局密切相关,决定了相当一部分货运量。这些货运量一旦形成,其运价弹性就相对较小。
客货运输在不同运输市场的需求弹性差异很大,这也体现在弹性与具体的运输方式、线路和方向有关。对于能力紧张的运输方式、线路和方向,虽然需求的价格弹性较小,但运价的变化,特别是运价的增加,对需求的影响不大;而能力丰富的运输方式、线路和方向,性较大。
运输需求价格弹性的计算方法
计算运输需求价格弹性可采用以下两种方法:
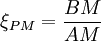
①点弹性
点弹性是运输需求曲线上某一点的弹性ξP,即:

若运输需求曲线为直线,如图所示(a)所示,则M点的点弹性
如果运输需求曲线为曲线,如图所示(b)所示,过N点的切线为AB,则
。如果给定运输需求曲线的方程,可以很容易地找到某弹性。

②弧弹性
弧弹性是运输需求曲线上某两点之间的平均弹性,如图所示,计算公式为:
当运输需求曲线方程未知,只知道曲线上两点的坐标时,可以使用弧弹性公式在两点之间寻求弧弹性。

需要注意的是:首先,由于运价和运输需求方向相反,弹性值为负;第二,绝对值的弹性尺寸通常使用,一定运输需求的价格弹性尺寸是指其绝对值;第三,如果需求曲线为直线,虽然直线上各点的斜率值不变,但由于
,直线上各点
值是变化的,所以这条直线上的价格弹性也是变化的。
运输需求价格弹性的五种情况
根据运输需求价格弹性系数的不同,运输需求价格弹性可分为以下五种情况。
完全无弹性:|Ep|=0。在这种情况下,无论运价如何变化,需求都保持不变。这种弹性需求曲线是垂直于需求轴的直线。
完全有弹性:
。在这种情况下,运价保持不变,需求可以无限增加。具有这种弹性的需求曲线平行于需求量轴。
单位弹性:|Ep|=1。运价每变一定百分比,导致同样百分比的需求变化。这种弹性需求曲线是正双曲线。
缺乏弹性:0<|Ep|<1。在这种情况下,需求变化率小于运价变化率。这种弹性需求曲线陡峭,斜率大。
富有弹性:
。在这种情况下,需求变化率大于运价变化率。具有这种弹性的需求曲线斜率较小。
如图所示,运输需求价格弹性的五种情况。

在上述五种情况下,前三种只是理论上的推导,很少有商品可能会表现出这种需求弹性,而大多数商品需求弹性是后两种。我们讨论的运输需求弹性也大多是后两种,即弹性和缺乏弹性。
运输弹性不同时,运价变化对运输收入的影响也不同。
图a运输需要曲线Ep>1。当运价为OPM运输收入
;当运价下降时OPN运输收入
,因为S1<S2,因此,当有弹性时,降低运价可以增加运输收入。相反,提高运价会减少运输收入。b运输需要曲线EP<1,因为S1>S2,因此,当缺乏弹性时,降低运价会降低运输收入,增加运价会增加运输收入。

相关条目
- 运输供给量
- 运输需求量
- 运输需求函数
- 运输需要曲线
- 运输需要弹性
- 收入弹性需要运输
- 交叉弹性需要运输
- 运输需要衍生弹性
- 生产衍生弹性
- 货物派生弹性
参考文献
- ↑马天山.运输经济(公路)专业知识与实践中级.2009年中国人事出版社.05
- ↑秦四平.运输经济学(第二版).2007年中国铁路出版社.12
- ↑刘南.交通运输学.2009年浙江大学出版社.08
运输需求价格弹性
运输需求价格弹性发表于2022-06-17,由周林编辑,文章《运输需求价格弹性》由admin于2022年06月17日发布于本网,共1643个字,共5586人围观,目录为物流,如果您还要了解相关内容敬请点击下方标签,便可快捷查找与文章《运输需求价格弹性》相关的内容。
版权声明:
文章:(运输需求价格弹性),来源:,阅读原文。
运输需求价格弹性若有[原创]标注,均为本站原创文章,任何内容仅供学习参考,未经允许不得转载,任何内容不得引用,文章若为转载文章,请注明作者来源,本站仅为分享知识,不参与商业活动,若有侵权请联系管理删除

微信扫一扫打赏
支付宝扫一扫打赏
