运输需求弹性
什么是运输需求弹性
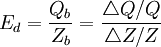
运输需求受多种因素影响,不同因素的变化对运输需求变化的影响程度也不同。为了比较,引入了弹性的概念。运输需要弹性用于分析运输需求随其影响因素变化的反应程度,一般采用弹性系数Ed计算公式为:

式中:Q——运输需求;
Z——影响运输需求的因素;
Qb——运输需求的变化率;
Zb——影响运输需求的某些因素的变化率;
-运输需求变化值;
-影响因素的变化值。
影响运输需求的因素很多,因此运输需求的弹性有很多种,包括运输需求的价格弹性、运输需求的收入弹性、运输需求的交叉弹性和运输需求的衍生弹性。
相关条目
- 运输供给量
- 运输需求量
- 运输需求函数
- 运输需要曲线
- 运输需求价格弹性
- 收入弹性需要运输
- 交叉弹性需要运输
- 运输需要衍生弹性
- 生产衍生弹性
- 货物派生弹性
参考文献
- ↑马天山.运输经济(公路)专业知识与实践中级.2009年中国人事出版社.05
运输需求弹性
运输需求弹性发表于2022-06-17,由周林编辑,文章《运输需求弹性》由admin于2022年06月17日发布于本网,共358个字,共5338人围观,目录为物流,如果您还要了解相关内容敬请点击下方标签,便可快捷查找与文章《运输需求弹性》相关的内容。
版权声明:
文章:(运输需求弹性),来源:,阅读原文。
运输需求弹性若有[原创]标注,均为本站原创文章,任何内容仅供学习参考,未经允许不得转载,任何内容不得引用,文章若为转载文章,请注明作者来源,本站仅为分享知识,不参与商业活动,若有侵权请联系管理删除

微信扫一扫打赏
支付宝扫一扫打赏
