Z检验
Z检验(ZTest)
什么是Z检验
Z检验它通常用于检测大样本(即样本容量大于30)的平均差异。它利用标准正态分布理论来推断差异的概率,从而比较两个平均差异是否明显。
当已知标准差时,验证一组数的平均值是否等于一定的预期值Z检验。
另外,对于Z我国统计教材大多采用U检验的说法。而国外英文统计学书籍,大多采用Z检验。
Z检验的步骤
统计检验的基本原理
统计检查是根据样本提供的数据、统计运算和运算结果,首先对整体分布规律做出一些假设,然后对假设做出肯定或否定的决定。如果需要检查实验组和对照组的平均数(μ1和μ2)步骤如下:
1.建立虚无假设,即首先认为两者没有区别,使用H0:μ1=μ2表示;
2.通过统计运算确定假设H0成立的概率P。
3.根据P判断假设的大小H0是否成立。如下表所示。
Z检验方法适用于大样本(样本容量大于30)两个平均值之间的显著差异检验。通过计算两个平均值之间的差异Z分数与规定的理论相匹配Z比较值,看是否大于规定的理论Z从而判断两平均差异是否显著。一般步骤:
第一步:建立虚假假设H0:μ1=μ2,假设两个平均数之间没有明显的差异,
第二步:计算统计量Z对于不同类型的问题,选择不同的统计计算方法,
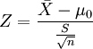
1.如果检查样本平均数(
与已知的总体平均值(μ0)差异是否显著Z值计算公式如下:

其中:
是检验样本的平均数;- μ0已知总体平均;
- S样品标准差;
- n样本容量。
2.如果检查两组样本平均值的差异,则判断它们代表的整体差异是否明显。Z值计算公式如下:

其中:
是样本1,样本2的平均值;- S1,S2样本1,样本2的标准差;
- n1,n2样本1,样本2的容量。
第三步:比较计算收入Z值与理论Z根据值,推断概率Z判断值与差异显著关系表。如下表所示:
第四步:根据以上分析,结合具体情况得出结论。
Z检验举例
对于教育技术实验,实验组和控制组的前后测量数据分别如下表所示,比较两组的前后测量是否存在差异。
由于n>30属于大样本,所以使用Z检查。由于这是对两个不同整体的两个样本平均值的测试,看看它们代表的整体差异是否明显,因此采用整体Z检验方法。
计算前测Z的值:

- ∵|Z|=0.658<1.96
- ∴两组前测差异不明显。
再计算后测Z的值:

- ∵|Z|=2.16>1.96
- ∴后测两组差异显着。
参考文献
- ↑汪琼.第五节,第四节.教育技术研究方法-课程讲义.北京大学教育学院
Z检验
Z检验发表于2022-06-15,由周林编辑,文章《Z检验》由admin于2022年06月15日发布于本网,共968个字,共5643人围观,目录为外贸知识,如果您还要了解相关内容敬请点击下方标签,便可快捷查找与文章《Z检验》相关的内容。
版权声明:
文章:(Z检验),来源:,阅读原文。
Z检验若有[原创]标注,均为本站原创文章,任何内容仅供学习参考,未经允许不得转载,任何内容不得引用,文章若为转载文章,请注明作者来源,本站仅为分享知识,不参与商业活动,若有侵权请联系管理删除

微信扫一扫打赏
支付宝扫一扫打赏
