关税课税标准
什么是关税税标准?
税收标准是量化关税对象的标准。包括数量和价值。
关税税标准类型
(一)从价税(AdValoremDuty)
从价税是一种以税收对象的价格或价值为税收标准的税收。
从价税额=完税价格×关税税率
(二)从量税(SpecificDuty)
从量税是以税收对象的数量为税收标准的一种税。
从量税=各单位数量的关税×进口数量
例如:税号0207.每公斤1200只冻鸡征收1200只关税.3元。
(三)复合税(CompoundDuty)
复合税是以税收对象的数量和价值为税收标准的一种税。
复合税额=从量税额
例如:税号8521.1011项下,每台价格高于2000美元的广播级录像机,每台从量税4482元,从价税3%。
(4)选择税(AlternativeDuty)
选择税是一种税对象的数量和价值为税收标准种税。
比如欧盟税则中手表征收5.1%的从价税,但如果每只手表的从价税少于0.3ECU或多于0.8ECU,则按每只0.3ECU或0.8ECU从量征收关税。
(五)滑准税(SlidingScaleDuty)
滑准税是根据货物的价格不同划分为不同的档次,适用不同的关税税率的一种征收方法。
我国对棉花实行关税配额制度。进口配额内的,适用配额内的税率,进口配额外的,适用滑动税的征收方法。
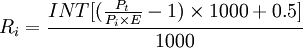
例如,当进口棉花的完税价格高于或等于10746元/吨时,临时关税税率为5%。当进口棉花的完税价格低于10746元/吨时,临时关税税率为5%至40%。具体税率按以下公式计算:

Ri临时关税税率,当Ri按上式计算值高于40%时,取值40%;
E人民币汇率为美元;
Pi关税完税价格(美元)
Pt为常数,为11283;
INT取整函数。
假设美元对人民币的汇率为1:8.如果进口棉花的价格是04,USD1300/T,则

若进口棉花价格为USD1300/T,则

参考文献
- ↑海关税收征管制度.中国海关通关实务.对外经济贸易大学网络精品课程
关税课税标准
关税课税标准发表于2022-06-15,由周林编辑,文章《关税课税标准》由admin于2022年06月15日发布于本网,共786个字,共5745人围观,目录为外贸知识,如果您还要了解相关内容敬请点击下方标签,便可快捷查找与文章《关税课税标准》相关的内容。
版权声明:
文章:(关税课税标准),来源:,阅读原文。
关税课税标准若有[原创]标注,均为本站原创文章,任何内容仅供学习参考,未经允许不得转载,任何内容不得引用,文章若为转载文章,请注明作者来源,本站仅为分享知识,不参与商业活动,若有侵权请联系管理删除

微信扫一扫打赏
支付宝扫一扫打赏
